[1] "species" "island" "bill_length_mm"
[4] "bill_depth_mm" "flipper_length_mm" "body_mass_g"
[7] "sex" "year"
ID 529: Data Management and Analytic Workflows in R
Amanda Hernandez
Thursday, January 12th, 2023
12 Jan 2023
01-12-23
2023-01-12
as_date(43476, origin = “1904-01-01”)
https://bit.ly/fct_datetimeR
Understand the importance of properly handling factors and date-times in data analysis
Learn about challenges and common mistakes when working with factors and date-times in R
Be familiar with packages for working with factors and date-times
forcats:: for manipulating factors in R
lubridate:: for handling date-times
A factor is an integer vector that uses levels to store attribute information.
You can transform numeric values or character strings into factors, it’s just another class of data
Factors retain the order of your variables through levels.
Factors have a lot more rules than character strings
Factors are particularly useful for ordinal data, where our data is categorical, but there is an order to the categories.
Factors are also useful when values are repeated frequently, and there’s a pre-specified set of distinct levels.
For example:
Age groups
Quantile groups
Months/Days of the week
Your data may already have variables as factors, or you can set them manually with factor().
The glimpse() function gives us an idea of the class of each column.
Rows: 344
Columns: 8
$ species <fct> Adelie, Adelie, Adelie, Adelie, Adelie, Adelie, Adel…
$ island <fct> Torgersen, Torgersen, Torgersen, Torgersen, Torgerse…
$ bill_length_mm <dbl> 39.1, 39.5, 40.3, NA, 36.7, 39.3, 38.9, 39.2, 34.1, …
$ bill_depth_mm <dbl> 18.7, 17.4, 18.0, NA, 19.3, 20.6, 17.8, 19.6, 18.1, …
$ flipper_length_mm <int> 181, 186, 195, NA, 193, 190, 181, 195, 193, 190, 186…
$ body_mass_g <int> 3750, 3800, 3250, NA, 3450, 3650, 3625, 4675, 3475, …
$ sex <fct> male, female, female, NA, female, male, female, male…
$ year <int> 2007, 2007, 2007, 2007, 2007, 2007, 2007, 2007, 2007…
Let’s look at the species column to see how R handles factors.
What do you notice about the output?
R by default returns your data in the order it occurs
Factors create an order and retain that order for all future uses of the variable

fct_infreq()
We may want to change the default factor order (alphabetical) and rearrange the order on the x axis. forcats:: gives us lots of options for rearranging our factors without having to manually list out all of the levels.
fct_infreq() allows us to sort by occurrence:

fct_rev()
fct_rev() flips the order in reverse


If you’re doing a lot of different analyses and visualization, you may want to change the factor order quite often.
Consider using these functions locally within your code so that you’re not actually changing the underlying dataset and future analyses.
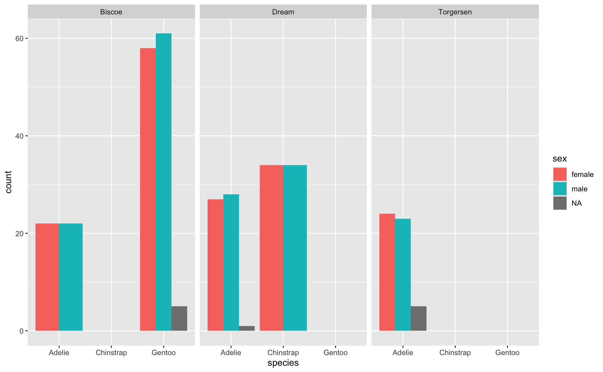
Factors have a specific set of rules for missing values


Once levels are set, they will be retained and kept consistent between groups, even when there is nothing in the group
NAs are not considered their own group by default
Let’s look at just the Adelie penguins.
Because species is a factor, the information about other species is retained, even when there is nothing in that category.
[1] Adelie
Levels: Adelie Chinstrap Gentoo

Retain the order of a variable, even if it is different between facets
Recode variables to have more intuitive labels
Regressions/other analyses
Let’s say we want to turn a continuous variable into categorical groups:
Age quartiles
Clinically relevant blood pressure categories
Min. 1st Qu. Median Mean 3rd Qu. Max.
12.00 23.00 42.00 42.78 60.00 80.00
[1] "integer"
age_quartiles into a factor[1] "factor"

age_quartiles into a factorWhat if we wanted the labels to convey more information?
[1] (23-42) (60-80) (12-23) (42-60)
Levels: (12-23) (23-42) (42-60) (60-80)
age_quartiles into a factor
We also want to create clinically relevant categories of blood pressure:
Because bp_cat is not a factor yet, R has plotted the variable in alphabetical order by default. There may be some situations where this is sufficient, but for ordinal data, the order of the data is important!

bp_cat into a factorThe forcats:: package (short for “For Categorical”) is a helpful set of functions for working with factors.

forcats:: functionssCheck out the forcats:: cheatsheet for more info on how these functions work!
fct_drop()
fct_relevel()
fct_rev()
fct_infreq()
fct_inorder

When you read in data, check how your variables load
Do you have factors, when you really want strings? Do you have strings, when you really want factors?
If you do have factors, check the levels with levels() or unique()
Plan out your script with pseudocode
On your second pass through, think through which stages factors might be most helpful for and add it to your pseudocode
Is your data ordinal? Do you want it sorted by another variable? Is there an initiative reference category?
How do you want to handle NAs?
Do you want to set factor order globally or locally?
Once you have a first draft script, make sure to check that your factors aren’t doing anything weird
Factors operate under a very strict set of rules. If you aren’t careful, you can accidentally create issues in your dataset
Let’s say we wanted to transform a “year” column from an integer to a factor to make a plot with a different boxplot for each year:

Later in your script, you decide you want to include year as a continuous variable, so you transform year into an integer.
[1] 1 2 3
Oh no!
So what do you do?
as.factor() around year within your ggplot().
If you don’t have exact matches when you assign factor levels and labels, you’re going to end up with a lot of NAs
penguins_sizes <- penguins %>%
mutate(size_cat = case_when(bill_length_mm > mean(bill_length_mm, na.rm = T) &
bill_depth_mm > mean(bill_depth_mm, na.rm = T) &
flipper_length_mm > mean(flipper_length_mm, na.rm = T) ~ "big penguins",
bill_length_mm < mean(bill_length_mm, na.rm = T) &
bill_depth_mm < mean(bill_depth_mm, na.rm = T) &
flipper_length_mm < mean(flipper_length_mm, na.rm = T) ~ "small penguins",
TRUE ~ "average penguins"))
table(penguins_sizes$size_cat, useNA = "ifany")
average penguins big penguins small penguins
293 20 31
Often, we need dates to function as both strings and numbers
As strings, we want to have a fair amount of control over how they are presented.
As numbers, we may want to add/subtract time, account for time zones, and present them at different scales.
There are lots of packages and functions that are helpful for working with dates. We’ll talk primarily about the lubridate:: package, but the goal today is to understand the components and rules of date-time objects so that you can apply these functions in your work.
There are 3 ways that we will work with date/time data:
dates
times
date-times
For the most part, we’re going to try to work with dates as Date objects, but you may see a date that defaults to POSIXct.
All computers store dates as numbers, typically as time (in seconds) since some origin. That’s all that POSIXct is – to be more specific, it is the time in seconds since 1970 in the UTC time zone (GMT).
To get an idea of how R works with dates, let’s ask for the current date/time:
But how do we actually work with this data? In practice, we might want to:
lubridate::The lubridate:: package is a handy way of storing and processing date-time objects. lubridate:: categorizes date-time objects by the component of the date-time string they represent:

lubridate:: basics
Once you have a date-time object, you can use lubridate:: functions to extract and manipulate the different components.
lubridate:: basics
The function now() returns a date-time object, while today() returns just a date. lubridate:: also has functions that allow us to force the date into a date-time and the date-time into a date:
lubridate:: basics
With lubridate::, we can also work with dates as a whole, rather than their individual components. Let’s say we have a character string with the date, but we want R to transform it into a date-time object:
There are three classes we can apply to our date-times so that we can work with them arithmetically 🧙️
We can use arithmetic operators with durations:
# how long does this class meet for each day?
class_length <- ymd_hms("2023-01-17 17:30:00") - ymd_hms("2023-01-17 13:30:00")
class_lengthTime difference of 4 hours
What if we want to know the total amount of time we get to spend together? 😊
How else might we calculate it?
class_meeting_times <- tibble(dates = class_dates,
week = c(rep(1, 5), rep(2, 4)),
start_time = c(rep(hms("13:30:00"), 9)),
start_datetime = c(ymd_hms(paste(dates, start_time), tz = "EST")),
end_time = c(rep(hms("17:30:00"), 9)),
end_datetime = c(ymd_hms(paste(dates, end_time), tz = "EST")),
class_time_int = interval(start = start_datetime,
end = end_datetime))
Since periods operate using “human” time, we can add to periods using functions like minutes(), hours(), days(), and weeks()
Intervals can be created with the interval() function or with %--%. By default, intervals will be created in the date-time format you input.
[1] 2023-01-12 UTC--2023-01-20 UTC
[1] 2023-01-12 UTC--2023-01-20 UTC
We can use %within% to check whether a date falls within our interval:
From R4DS Chapter 16: Dates and times
[1] 2023-01-12 11:14:51 EST--2023-01-12 17:30:00 EST
On Monday, I set up an instrument to log indoor temperature, relative humidity, and CO\(_2\) in G2.
The logger (called a HOBO) was set to collect data at 1-second intervals ~15 minutes before class began and ~15 minutes after class ended.
The data were cleaned and are now “long”

hobo_g2_dt <- hobo_g2 %>%
mutate(metric = factor(metric, levels = c("co2_ppm", "temp_f", "rh_percent"),
labels = c("CO2 (ppm)", "Temperature (F)", "Relative Humidity (%)")),
date_time = force_tz(as_datetime(date_time), tz = "EST"),
time = hms::as_hms(date_time),
date = as_date(date_time),
hour = hour(date_time),
minute = minute(date_time),
second = second(date_time))
glimpse(hobo_g2_dt)Rows: 51,303
Columns: 8
$ date_time <dttm> 2023-01-09 13:15:00, 2023-01-09 13:15:00, 2023-01-09 13:15:…
$ metric <fct> Temperature (F), Relative Humidity (%), Temperature (F), Rel…
$ result <dbl> 71.834, 34.128, 71.834, 33.995, 71.834, 33.929, 71.834, 33.7…
$ time <time> 13:15:00, 13:15:00, 13:15:01, 13:15:01, 13:15:02, 13:15:02,…
$ date <date> 2023-01-09, 2023-01-09, 2023-01-09, 2023-01-09, 2023-01-09,…
$ hour <int> 13, 13, 13, 13, 13, 13, 13, 13, 13, 13, 13, 13, 13, 13, 13, …
$ minute <int> 15, 15, 15, 15, 15, 15, 15, 15, 15, 15, 15, 15, 15, 15, 15, …
$ second <dbl> 0, 0, 1, 1, 2, 2, 3, 3, 4, 4, 5, 5, 6, 6, 7, 7, 8, 8, 9, 9, …
ggplot(hobo_g2_dt, aes(x = date_time, y = result)) +
geom_line() +
facet_wrap(~metric, scales = "free_y", ncol = 1) +
scale_x_datetime(breaks = scales::date_breaks("30 mins"), date_labels = "%H:%M") +
xlab("Time") +
ylab("") +
ggtitle(paste0("Indoor conditions in G2 (", unique(hobo_g2_dt$date), ")"))
Often, we have really granular data that we want to report in some aggregate form. This data is measured in 1-second intervals, but let’s say we wanted to calculate a 1-minute average or an hourly average.
Because we separated date_time into it’s various components, we can now use group_by() and summarize() to calculate averages.
hobo_g2_1min <- hobo_g2_dt %>%
group_by(metric, date, hour, minute) %>%
summarize(avg_1min = mean(result)) %>%
mutate(date_time = ymd_hm(paste0(date, " ", hour, ":", minute), tz = "EST"))
hobo_g2_1hr <- hobo_g2_dt %>%
group_by(metric, date, hour) %>%
summarize(avg_1hr = mean(result)) %>%
mutate(date_time = ymd_h(paste0(date, hour), tz = "EST"))ggplot(hobo_g2_dt, aes(x = date_time, y = result)) +
geom_line(color = "lightgrey", size = 1) +
facet_wrap(~metric, scales = "free_y", ncol = 1) +
theme_bw()ggplot(hobo_g2_dt, aes(x = date_time, y = result)) +
geom_line(color = "lightgrey", size = 1) +
geom_line(hobo_g2_1min, mapping = aes(x = date_time, y = avg_1min), color = "slateblue3") +
facet_wrap(~metric, scales = "free_y", ncol = 1) +
theme_bw()ggplot(hobo_g2_dt, aes(x = date_time, y = result)) +
geom_line(color = "lightgrey", size = 1) +
geom_line(hobo_g2_1min, mapping = aes(x = date_time, y = avg_1min), color = "slateblue3") +
geom_line(hobo_g2_1hr, mapping = aes(x = date_time, y = avg_1hr), color = "paleturquoise2", alpha = 0.7) +
facet_wrap(~metric, scales = "free_y", ncol = 1) +
theme_bw()
Another thing we might be interested in is whether a measurement occurred during a specific interval, for example, during class time.
We can use %within%, which works similarly to %in% but for date-times.
ggplot(hobo_g2_dt) +
geom_line(aes(x = date_time, y = result), color = "lightgrey", size = 1) +
geom_line(hobo_g2_1min, mapping = aes(x = date_time, y = avg_1min), color = "slateblue3") +
geom_line(hobo_g2_1hr, mapping = aes(x = date_time, y = avg_1hr), color = "paleturquoise2") +
geom_rect(data = class_meeting_times %>%
filter(dates %in% hobo_g2_dt$date),
mapping = aes(xmin = start_datetime,
xmax = end_datetime,
ymin = 0, ymax = Inf),
alpha = 0.2, fill = "lightpink") +
facet_wrap(~metric, scales = "free_y", ncol = 1) +
theme_bw()
If you can remember back to our first day, Christian demonstrated an application of factors and date-times into his workflow
covid <- list(
readr::read_csv("us-counties-2020.csv"),
readr::read_csv("us-counties-2021.csv"),
readr::read_csv("us-counties-2022.csv")
)
covid <- bind_rows(covid)
# cleaning ----------------------------------------------------------------
covid$geoid <- stringr::str_replace_all(covid$geoid, "USA-", "")
# aggregate up to monthly observations
covid <- covid |>
mutate(
year_month = paste0(lubridate::year(date), "-", lubridate::month(date))
)
covid$year_month <- factor(covid$year_month, levels =
paste0(rep(2020:2022, each = 12), "-", rep(1:12, 3)))ggplot(
covid_by_poverty_level |> filter(! is.na(poverty_cut)),
aes(x = year_month,
y = deaths_avg_per_100k,
color = poverty_cut,
group = poverty_cut)) +
geom_line() +
scale_color_brewer(palette = 'RdBu', direction = -1) +
xlab("Date") +
ylab("COVID-19 Mortality per 100k (monthly observations)") +
ggtitle("Monthly County COVID-19 Mortality Estimates by Poverty Level in the US") +
theme(axis.text.x = element_text(angle = 75, hjust = 1))Knowing how to manipulate factors and date-times can save you a ton of headache – you’ll have a lot more control over your data which can help with cleaning, analysis, and visualization!
forcats:: and lubridate:: give you a lot of the functionality you might need
hms:: is another package for working with times (stores time as seconds since 00:00:00, so you can easily convert between numeric and hms)Factors and date-times can be tricky
Double check things are working as you expect along the way!!
If you can’t figure out why something isn’t working, take a break, and revisit it with fresh eyes.
There’s lots of documentation out there! The cheatsheets are great, as is The Epidemiologist R Handbook (https://epirhandbook.com/en/working-with-dates.html#working-with-dates-1)
